首页
2024-11-09 10:09:22
高等数学二(专升本)
B、1
C、cos1-2sin1
D、cos1+2sin1
【正确答案】:C
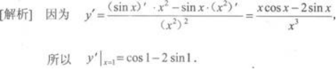
【题目解析】:
上一篇:
下一篇:
若f'(x)<0(a<x≤b)且f(b)>0,则在(a,b)内必有()