首页
2024-11-09 10:09:20
高等数学二(专升本)
A、A
B、B
C、C
D、D
【正确答案】:A
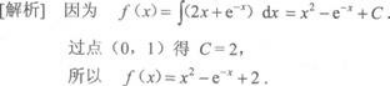
【题目解析】:
本题用赋值法更简捷: 因为曲线过点(0,1),所以将点(0,1)的坐标代入四个选项,只有选项A成立,即 02-e0+2=1,故选A.
上一篇:
设f(x)的一个原函数是arctanx,则f(x)的导函数是()
下一篇: