首页
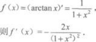
设f(x)的一个原函数是arctanx,则f(x)的导函数是()
2024-11-09 10:09:19
高等数学二(专升本)
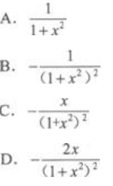
设f(x)的一个原函数是arctanx,则f(x)的导函数是()
A、A
B、B
C、C
D、D
【正确答案】:D
【题目解析】:
根据原函数的定义可知
上一篇:
下一篇: