首页
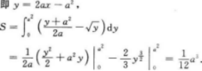
求曲线y=x2,与该曲线在x=a(a>o)处的切线与x轴所围的平面图形的面积.
2024-11-09 10:08:35
高等数学二(专升本)
求曲线y=x2,与该曲线在x=a(a>o)处的切线与x轴所围的平面图形的面积.
【正确答案】:
上一篇:
下一篇: