• 首页

  • 2024-11-09 10:08:37
  • 高等数学二(专升本)

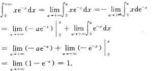
【正确答案】:
上一篇:求曲线y=x2,与该曲线在x=a(a>o)处的切线与x轴所围的平面图形的面积.
下一篇:

最新文章

  • 企业文化学习心得体会10篇
  • 企业税务自查报告10篇
  • 伊豆的**读后感10篇
  • 企业无偿献血倡议书10篇
  • 企业模拟实训心得体会10篇
  • 优秀个人求职自我介绍10篇
  • 企业股份转让合同10篇
  • 企业竞聘上岗演讲稿10篇
  • 企业财务**10篇
  • 企业致客户的感谢信10篇

推荐文章

友情链接