• 首页

  • 2024-11-09 10:08:33
  • 高等数学二(专升本)
  • 1

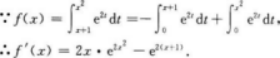
【正确答案】:
上一篇:
下一篇:求曲线y=x2,与该曲线在x=a(a>o)处的切线与x轴所围的平面图形的面积.

最新文章

  • 幸福,并不遥远作文10篇
  • 幼儿园中班期末评语10篇
  • 幸福读后感作文10篇
  • 幸福的时刻作文10篇
  • 年度英语教师教学工作总结10篇
  • 幸福就这么简单优秀作文10篇
  • 幸福幸福作文1200字10篇
  • 幸福是什么教学设计10篇
  • 年终项目经理述职报告10篇
  • 幸福叙事文作文400字10篇

推荐文章

友情链接