首页
设离散型随机变量X的概率分布为 求X的数学期望EX及方差DX.
2024-11-09 10:03:50
高等数学二(专升本)
设离散型随机变量X的概率分布为
求X的数学期望EX及方差DX.
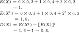
【正确答案】:
上一篇:
已知函数(x)=cos(2x+1),求′"(0).
下一篇:
已知函数(x)=x4-4x+1. (1)求(x)的单调区间和极值; (2)求曲线y=(x)的凹凸区间.