首页
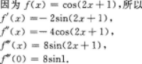
已知函数(x)=cos(2x+1),求′"(0).
2024-11-09 10:03:48
高等数学二(专升本)
已知函数(x)=cos(2x+1),求′"(0).
【正确答案】:
上一篇:
(1)求D的面积S; (2)求D绕y轴旋转一周所得旋转体的体积V.
下一篇:
设离散型随机变量X的概率分布为 求X的数学期望EX及方差DX.