首页
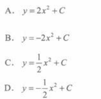
微分方程y'+x=0的通解为
2024-11-09 10:00:49
高等数学一(专升本)
1
微分方程y'+x=0的通解为
A、A
B、B
C、C
D、D
【正确答案】:D
【题目解析】:
[解析]所给方程为可分离变量方程.
上一篇:
微分方程y'+y=0的通解为y=[]
下一篇:
微分方程yy'=1的通解为()