首页
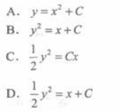
微分方程yy'=1的通解为()
2024-11-09 10:00:51
高等数学一(专升本)
微分方程yy'=1的通解为()
A、A
B、B
C、C
D、D
【正确答案】:D
【题目解析】:
上一篇:
微分方程y'+x=0的通解为
下一篇:
微分方程(y′)2=x的阶数为().