首页
微分方程y'+y=0的通解为y=[]
2024-11-09 10:00:46
高等数学一(专升本)
微分方程y'+y=0的通解为y=[]
A、e-x+C
B、-e-x+C
C、Ce-x
D、Cex
【正确答案】:C
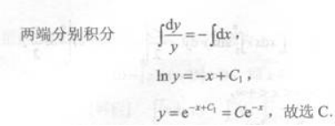
【题目解析】:
所给方程为可分离变量方程.
上一篇:
设y1、y2是二阶常系数线性齐次方程y"+p1y'十p2y=0的两个特解,C1、C2为两个任意常数,则下列命题中正确的是()
下一篇:
微分方程y'+x=0的通解为