首页
2024-11-09 09:59:49
高等数学一(专升本)
【正确答案】:
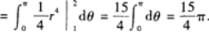
积分区域D为半圆环域,利用极坐标计算此二重积分较方便.在极坐标系下,戈2+Y2=1可以化为r=1;x2+y2=4可以化为r=2.因此区域D可以表示为
因此
上一篇:
下一篇:
设平面薄板所占Oxy平面上的区域D为1≤x2+y2≤4,x≥0,y≥0,其面密度 u(x,y)=2+y2,求该薄板的质量m.