首页
2024-11-09 09:59:48
高等数学一(专升本)
【正确答案】:
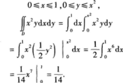
积分区域D的图形如图5—7所示.
由被积函数及积分区域D可知,可以将二重积分化为任意次 序的二次积分.若化为先对Y积分,后对x积分的二次积分,D可以 表示为
上一篇:
下一篇: