首页
2024-11-09 09:59:47
高等数学一(专升本)
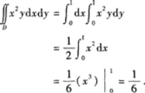
【正确答案】:
由被积函数与积分区域可知可以选择先对Y积分,也可以选择先对x积分.
上一篇:
下一篇: