首页
2024-11-09 09:59:46
高等数学一(专升本)
【正确答案】:
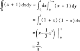
若选择先对Y积分后对x积分,则
若选择先对x积分后对 Y积分,运算较上述复杂.
上一篇:
下一篇: