首页
2024-11-09 09:59:44
高等数学一(专升本)
【正确答案】:
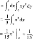
积分区域D的图形如图5-4所示.
上一篇:
,其中区域如图5-3所示,由y=x,y=1与Y轴围成.
下一篇: