首页
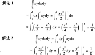
,其中区域如图5-3所示,由y=x,y=1与Y轴围成.
2024-11-09 09:59:43
高等数学一(专升本)
,其中区域如图5-3所示,由y=x,y=1与Y轴围成.
【正确答案】:
将所给积分化为二次积分.
上一篇:
下一篇: