首页
2024-11-09 09:59:42
高等数学一(专升本)
1
【正确答案】:
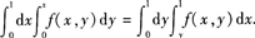
由所给积分次序的积分限可以得出区域D的不等式表达式区域D如图5-1所示,因此D又可以表示为0≤y≤1,y≤x≤1.
上一篇:
下一篇:
,其中区域如图5-3所示,由y=x,y=1与Y轴围成.