首页
设曲线及x=0所围成的平面图形为D. (1)求平面图形D的面积s. (2)求平面图形D绕y轴旋转一周生成的旋转体体积V
2024-11-09 09:57:53
高等数学一(专升本)
设曲线
及x=0所围成的平面图形为D. (1)求平面图形D的面积s. (2)求平面图形D绕y轴旋转一周生成的旋转体体积V
【正确答案】:
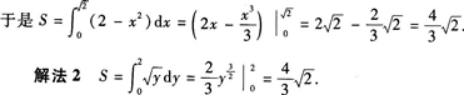
平面图形D如图3-2所示.
(1)
(2)
上一篇:
设l是曲线y=x2+3在点(1,4)处的切线,求由该曲线,切线l及Y轴围成的平面图形的面积S.
下一篇:
(1)求曲线Y=ex及直线x=1,x=0,y=0所围成的平面图形(如图3—3所示) 的面积A. (2)求(1)中平面图形绕x