首页
2024-11-09 09:57:51
高等数学一(专升本)
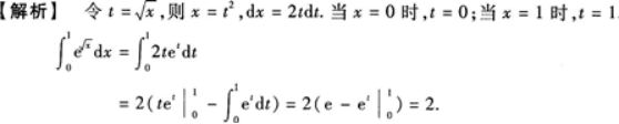
【正确答案】:
【评析】定积分的分部积分运算u,u'的选取原则,与不定积分相同.只需注意不要忘记积分限.如果被积函数中含有根式,需先换元,再利用分部积分.
上一篇:
下一篇:
设l是曲线y=x2+3在点(1,4)处的切线,求由该曲线,切线l及Y轴围成的平面图形的面积S.