首页
2024-11-09 09:57:49
高等数学一(专升本)
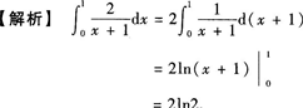
【正确答案】:
上一篇:
下一篇: