首页
2024-11-09 09:53:47
高等数学一(专升本)
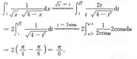
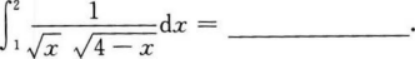
【正确答案】:
【答案】
【考情点拨】本题考查了利用换元法求定积分的知识点. 【应试指导】
上一篇:
下一篇: