首页
2024-11-09 09:53:45
高等数学一(专升本)
【正确答案】:
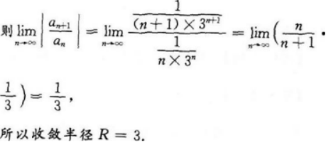
【答案】3【考情点拨】本题考查了幂级数的收敛半径的知识点. 【应试指导】
上一篇:
下一篇: