首页
2024-11-09 09:53:48
高等数学一(专升本)
【正确答案】:
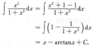
【答案】x-arctanx+C【考情点拨】本题考查了不定积分的知识点. 【应试指导】
上一篇:
下一篇:
函数y=cosx在[0,2x]上满足罗尔定理,则ξ= .