首页
2024-11-07 12:07:44
直播电商(实践)(14893)
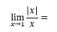
B、1
C、-1
D、不存在
【正确答案】:B
【题目解析】:
上一篇:
下一篇: