首页
2024-11-07 12:07:45
直播电商(实践)(14893)
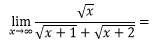
A、1
B、2
C、1/2
D、∞
【正确答案】:C
【题目解析】:
上一篇:
下一篇: