首页
2024-11-07 12:07:43
直播电商(实践)(14893)
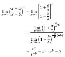
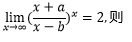
A、e
a
∙e
b
=2
B、e
a
∙e
-b
=2
C、a+b=2
D、2a=b
【正确答案】:A
【题目解析】:
本题主要考查的知识点是两个重要极限.
上一篇:
下一篇: