首页
2024-11-07 12:07:41
直播电商(实践)(14893)
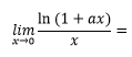
1
A、a
B、lna
C、e
a
D、1
【正确答案】:A
【题目解析】:
上一篇:
下一篇: