首页
2024-11-07 12:07:39
直播电商(实践)(14893)
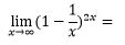
A、e
2
B、e
-2
C、e
D、e
-1
【正确答案】:B
上一篇:
下一篇: