首页
已知
2024-11-06 06:00:52
经济应用数学(二)(04224)
已知
A、2
x
ln2-2x
B、2
x
(ln2)
2
-2
C、2
x
ln2+2x
D、2
x
(ln2)
2
+2
【正确答案】:A
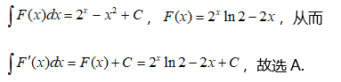
【题目解析】:
上一篇:
设函数
下一篇:
设函数y= f(x)在区间(0,2)内具有二阶导数,若x∈(0,1)时,f‘’(x)0,则( )