首页
设函数
2024-11-06 06:00:51
经济应用数学(二)(04224)
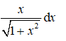
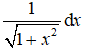
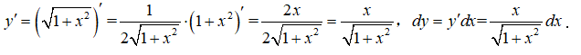
设函数
A、
B、
C、
D、
【正确答案】:D
【题目解析】:
上一篇:
设A,B是n阶可逆矩阵,下列等式中正确的是
下一篇:
已知