首页
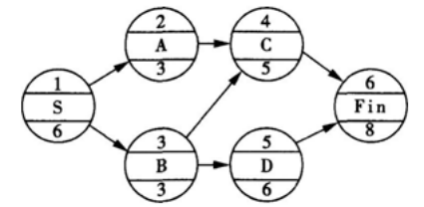
单代号网络计划如下图所示(时间单位:天)工作C的最迟开始时间是( )。
2024-11-09 17:14:10
建设工程施工管理【新版】
单代号网络计划如下图所示(时间单位:天)工作C的最迟开始时间是( )。
B、10
C、3
D、4
【正确答案】:B
【题目解析】:关键路线时间6+3+6+8=23天,终点时间最迟开始时间23-8=15,C工作最迟开始15-5=10
上一篇:
已知单代号网络计划中,工作A最早开始时间(ES)和最早完成时间(EF)分别为10天和24天,则其紧后 工作B的最早开始时间(ES
下一篇:
工程双代号时标网络计划如下图所示,其中工作A的总时差为( )周。