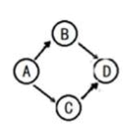
A、

B、

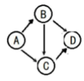
C、

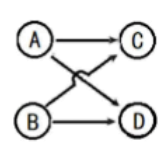
D、

【正确答案】:D
【题目解析】:首先,我们需要理解题目中的工作逻辑关系:工作A和工作B都完成后,再进行工作C和工作D。这意味着工作A和工作B是工作C和工作D的前置工作,且工作A和工作B之间没有直接的先后关系,它们可以同时进行,也可以按任意顺序进行,但只有当它们都完成后,工作C和工作D才能开始。 接下来,我们逐一分析每个选项: A选项:表示工作A完成后进行工作B,工作B完成后进行工作C,工作C完成后进行工作D。这是一个顺序关系,不符合题目要求。 B选项:表示工作A和工作B并行进行,但工作C在工作A和工作B之前开始,这同样不符合题目要求。 C选项:表示工作A完成后进行工作B和工作C,工作B完成后进行工作D。这也是一个顺序关系,并且工作C在工作A完成后就立即开始,不符合题目要求。 D选项:表示工作A和工作B可以并行进行,且只有当它们都完成后,工作C和工作D才能开始。这完全符合题目对工作逻辑关系的要求。 因此,正确答案是D。