计算本工程12000m³自航耙吸挖泥船疏挖三种疏浚土质的合理施工舱容和施工运转时间小时生产率。(列出主要计算过程,结果四舍五入取

计算本工程12000m³自航耙吸挖泥船疏挖三种疏浚土质的合理施工舱容和施工运转时间小时生产率。(列出主要计算过程,结果四舍五入取整数)
【正确答案】:

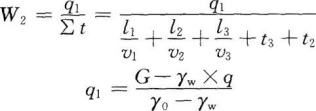
耙吸挖泥船挖、运、吹施工运转时间小时生产率可按下式计算:

在本工程12000m³自航耙吸挖泥船疏挖三种疏浚土质的合理施工舱容中,对于淤泥质土:

在本工程12000m³自航耙吸挖泥船疏挖三种疏浚土质的合理施工舱容中,对于松散中砂: