首页
2024-11-09 10:19:41
高等数学二(专升本)
A、(-∞,0)
B、(0,1)
C、(1,e)
D、(e,+∞)
【正确答案】:B
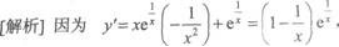
【题目解析】:
上一篇:
下一篇:
根据f(x)的导函数f'(x)的图像,判定下列结论正确的是()