首页
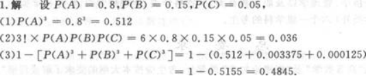
某产品中一、二、三等品各占80%,15%,5%.现作有放回抽取,每次取一次,共取三次,试求以下各事件的概率: (1)三件都是一
2024-11-09 10:18:44
高等数学二(专升本)
某产品中一、二、三等品各占80%,15%,5%.现作有放回抽取,每次取一次,共取三次,试求以下各事件的概率: (1)三件都是一等品; (2)三件的等级全不相同; (3)三件的等级不全相同.
【正确答案】:
上一篇:
下一篇:
有10件产品,其中8件是正品,2件是次品.甲、乙两人先后各抽取1件产品, 求甲先抽到正品的条件下,乙抽到正品的概率.