首页
2024-11-09 10:15:54
高等数学二(专升本)
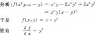
【正确答案】:
上一篇:
求函数(x,y)=x2+y2在条件2x+3y=1下的极值.
下一篇: