首页
2024-11-09 10:15:41
高等数学二(专升本)
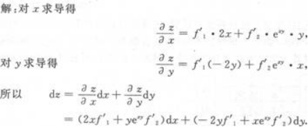
【正确答案】:
上一篇:
求下列函数的偏导数
下一篇:
设z=sin(xy)+2x2+y,求dz.