首页
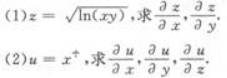
求下列函数的偏导数
2024-11-09 10:15:40
高等数学二(专升本)
求下列函数的偏导数
【正确答案】:
上一篇:
下一篇: