首页
2024-11-09 10:09:00
高等数学二(专升本)
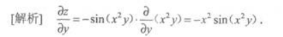
A、sin(x2y)
B、x2sin(x2y)
C、-sin(x2y)
D、-x2sin(x2y)
【正确答案】:D
【题目解析】:
上一篇:
设函数f(x)在x=1处可导,且f'(1)=0,若f"(1)>0,则f(1)是()
下一篇: