首页
2024-11-09 10:08:58
高等数学二(专升本)
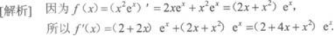
A、(1+x+x2)ex
B、(2+2x+x2)ex
C、(2+3x+x2)ex
D、(2+4x+x2)ex
【正确答案】:D
【题目解析】:
上一篇:
下一篇:
设函数f(x)在x=1处可导,且f'(1)=0,若f"(1)>0,则f(1)是()