首页
2024-11-09 10:08:43
高等数学二(专升本)
A、A
B、B
C、C
D、D
【正确答案】:C
【题目解析】:
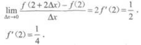
根据导数的定义式可知
上一篇:
下一篇:
下列命题正确的是()