首页
2024-11-09 10:07:29
高等数学二(专升本)
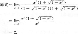
【正确答案】:
注:本题也可用洛必达法则求解.
上一篇:
下一篇:
求y=f(x)=2x3-3x2-12x+14的极值点和极值,以及函数曲线的凸凹性区间和拐点.