首页
2024-11-09 10:07:28
高等数学二(专升本)
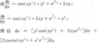
【正确答案】:
上一篇:
下一篇: