首页
2024-11-09 10:05:33
高等数学二(专升本)
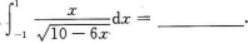
【正确答案】:
【答案】
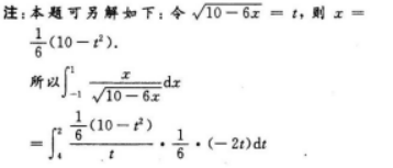
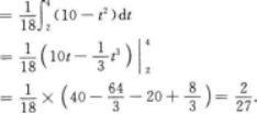
【考情点拨】本题考查了定积分的知识点. 【应试指导】 =
上一篇:
下一篇: