首页
2024-11-09 10:05:31
高等数学二(专升本)
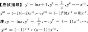
【正确答案】:
【答案】8!x-9【考情点拨】本题考查了一元函数的高阶导数的知识点.
上一篇:
下一篇: