首页
2024-11-09 10:05:14
高等数学二(专升本)
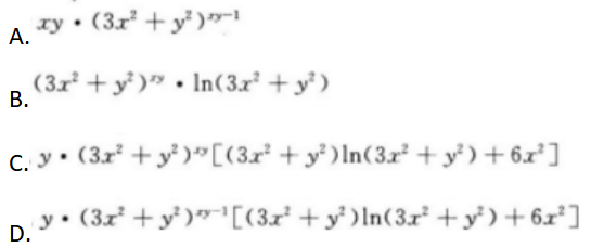
1
A、A
B、B
C、C
D、D
【正确答案】:D
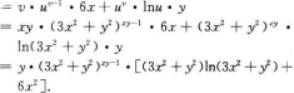
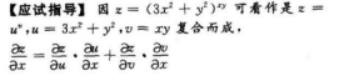
【题目解析】:
【考情点拨】本题考查了二元函数的一阶偏导数的知识点.
上一篇:
下一篇: