首页
2024-11-09 10:05:13
高等数学二(专升本)
A、A
B、B
C、C
D、D
【正确答案】:B
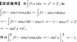
【题目解析】:
【考情点拨】本题考查了定积分的换元积分法的知识点.
上一篇:
设f(x)在[a,b]上连续,且Ct≠一b,则下列各式不成立的是()
下一篇: