首页
2024-11-09 10:03:52
高等数学二(专升本)
A、A
B、B
C、C
D、D
【正确答案】:A
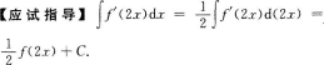
【题目解析】:
【考情点拨】本题考查了导数的原函数的知识点.
上一篇:
已知函数(x)=x4-4x+1. (1)求(x)的单调区间和极值; (2)求曲线y=(x)的凹凸区间.
下一篇: