首页
2024-11-09 10:02:24
高等数学一(专升本)
1
A、A
B、B
C、C
D、D
【正确答案】:A
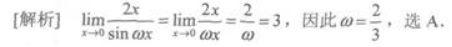
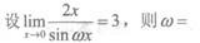
【题目解析】:
上一篇:
当x→0时,2x+x2是x的( )
下一篇: